fracElementElementElement functions can be customized with set and show rules.
Element
Element functions can be customized with
set and show rules.A mathematical fraction.
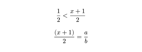
Example
$ 1/2 < (x+1)/2 $
$ ((x+1)) / 2 = frac(a, b) $

Syntax
This function also has dedicated syntax: Use a slash to turn neighbouring expressions into a fraction. Multiple atoms can be grouped into a single expression using round grouping parentheses. Such parentheses are removed from the output, but you can nest multiple to force them.
ParameterParameterParameters are input values for functions. Specify them in parentheses after the function name.
Parameter
Parameters are input values for functions. Specify them in parentheses after the function name.
numRequiredRequiredRequired parameters must be specified when calling the function.PositionalPositionalPositional parameters can be set by specifying them in order, omitting the parameter name.
Required
Required
Required parameters must be specified when calling the function.
Positional
Positional
Positional parameters can be set by specifying them in order, omitting the parameter name.
The fraction's numerator.
denomRequiredRequiredRequired parameters must be specified when calling the function.PositionalPositionalPositional parameters can be set by specifying them in order, omitting the parameter name.
Required
Required
Required parameters must be specified when calling the function.
Positional
Positional
Positional parameters can be set by specifying them in order, omitting the parameter name.
The fraction's denominator.
styleSettableSettableSettable parameters can be set using the set rule, changing the default value used thereafter.
Settable
Settable
Settable parameters can be set using the
set rule, changing the default value used thereafter.How the fraction should be laid out.
Show example: Styles
$ frac(x, y, style: "vertical") $
$ frac(x, y, style: "skewed") $
$ frac(x, y, style: "horizontal") $

Show example: Setting the default
#set math.frac(style: "skewed")
$ a / b $

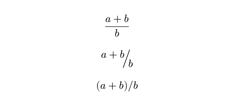
Show example: Handling of grouping parentheses
// Grouping parentheses are removed.
#set math.frac(style: "vertical")
$ (a + b) / b $
// Grouping parentheses are removed.
#set math.frac(style: "skewed")
$ (a + b) / b $
// Grouping parentheses are retained.
#set math.frac(style: "horizontal")
$ (a + b) / b $

Show example: Different styles in inline vs block equations
// This changes the style for inline equations only.
#show math.equation.where(block: false): set math.frac(style: "horizontal")
This $(x-y)/z = 3$ is inline math, and this is block math:
$ (x-y)/z = 3 $

Default value: "vertical"
Available string values
verticalStacked numerator and denominator with a bar.
skewedNumerator and denominator separated by a slash.
horizontalNumerator and denominator placed inline and parentheses are not absorbed.