casesElementElementElement functions can be customized with set and show rules.
Element
Element functions can be customized with
set and show rules.A case distinction.
Content across different branches can be aligned with the & symbol.
Example
$ f(x, y) := cases(
1 "if" (x dot y)/2 <= 0,
2 "if" x "is even",
3 "if" x in NN,
4 "else",
) $

ParameterParameterParameters are input values for functions. Specify them in parentheses after the function name.
Parameter
Parameters are input values for functions. Specify them in parentheses after the function name.
delim
The delimiter to use.
Can be a single character specifying the left delimiter, in which case the right delimiter is inferred. Otherwise, can be an array containing a left and a right delimiter.
Show example
#set math.cases(delim: "[")
$ x = cases(1, 2) $

Default value: ("{", "}")
reverseSettableSettableSettable parameters can be set using the set rule, changing the default value used thereafter.
Settable
Settable
Settable parameters can be set using the
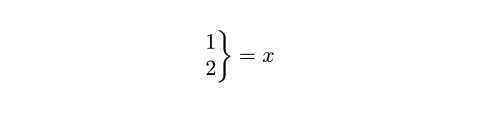
set rule, changing the default value used thereafter.Whether the direction of cases should be reversed.
Show example
#set math.cases(reverse: true)
$ cases(1, 2) = x $

Default value: false
gapSettableSettableSettable parameters can be set using the set rule, changing the default value used thereafter.
Settable
Settable
Settable parameters can be set using the
set rule, changing the default value used thereafter.The gap between branches.
Show example
#set math.cases(gap: 1em)
$ x = cases(1, 2) $

Default value: 0% + 0.2em
childrenRequiredRequiredRequired parameters must be specified when calling the function.PositionalPositionalPositional parameters can be set by specifying them in order, omitting the parameter name.VariadicVariadicVariadic parameters can be specified multiple times.
Required
Required
Required parameters must be specified when calling the function.
Positional
Positional
Positional parameters can be set by specifying them in order, omitting the parameter name.
Variadic
Variadic
Variadic parameters can be specified multiple times.
The branches of the case distinction.